■データの分析(数A・数B)
データ分析の基礎(数A)
この分野の問題は、2次試験での出題が少なく、センター試験の問題がかなり参考になると思います。以降、次のような問題を追加する予定です。
- 与えられたデータをもとに平均値,分散,標準偏差などを問う問題
(同志社大,立命館大,福岡大,南山大など) - 2つのグループを1つにまとめる(立命館大,福岡大など)
- 1つのグループを2つに分ける問題(慶應義塾大)
- 2次元のデータを扱う問題(奈良県立医大,産業医科大,一橋大)
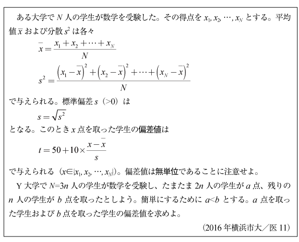
[A]データ分析のやさしい問題(2016年横浜市大/医11)
[B]データ分析のやさしい問題(2016年山梨大/医11)
[B]データ分析の問題(2016年慶應大/経済3)
[B]確率と期待値と分散の問題(2017年昭和大/医132)
共分散と相関係数(数B)
共分散と相関係数の解説は工事中です。
[B]共分散と相関係数の問題(2016年一橋大52)
[B]共分散と相関係数の問題(2015年一橋大52)


