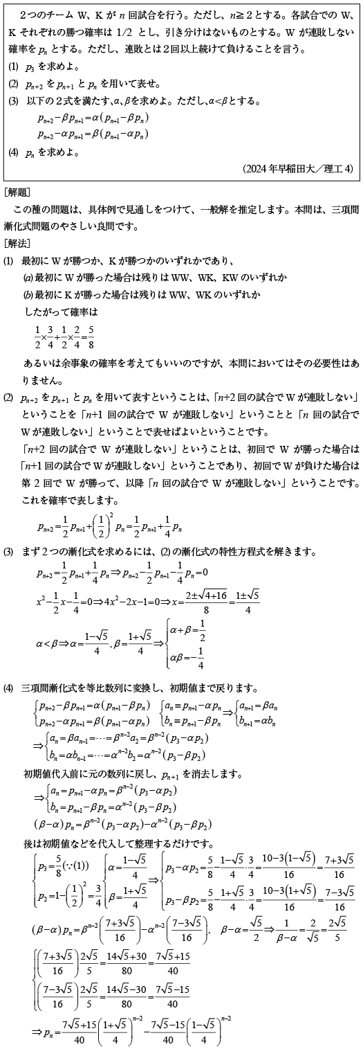
2024年早大/理工 第4問
[C]連立確率漸化式を解くゲームの問題(2024年早大/理工4)
疑問点のお問い合わせやご注文などは、■御注文・お問い合わせの手順にしたがってadmin@K-Kyogoku.comへお願いします。最近はかなり頻繁に更新しているので、時々[再読み込み]を行ってください。
難関大入試対策「最強の良問集成(2025年版)」提供を開始しました。こちらへ
「保護されていない」って出てきたけど,大丈夫? 「保護されていない通信」
[C]連立確率漸化式を解くゲームの問題(2024年早大/理工4)