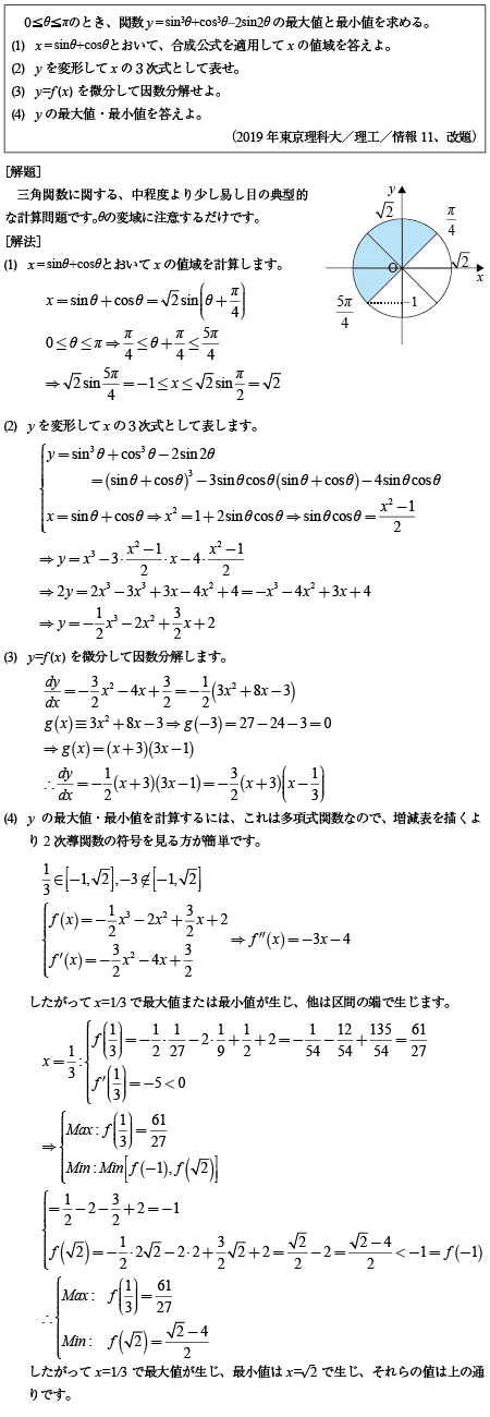
2019年東京理科大/理工/情報11
[A]三角関数に関する典型的な計算問題
(2019年東京理科大/理工/情報11)
疑問点のお問い合わせやご注文などは、■御注文・お問い合わせの手順にしたがってadmin@K-Kyogoku.comへお願いします。最近はかなり頻繁に更新しているので、時々[再読み込み]を行ってください。
難関大入試対策「最強の良問集成(2025年版)」提供を開始しました。こちらへ
「保護されていない」って出てきたけど,大丈夫? 「保護されていない通信」
[A]三角関数に関する典型的な計算問題
(2019年東京理科大/理工/情報11)