■数列や級数の極限
●数列・級数の極限の7つのパターン
数列・級数の極限は次の7つのパターンに分類されます。これだけです。関数の極限と比較すると、実数と自然数という違いはありますが、相手は∞なので、符号さえ一定ならば、ほとんど内容に違いはありません。大きく違う点は、階乗の登場や区分求積法です。

第7の関係を適用するには苦労する場合があります。説明の右下に全体像をまとめました。これが大きさのイメージです。これらの証明は別頁で示します。
第6の関係の「eに収束する極限値」の計算は、二項定理を使って証明しますが、級数展開の情報が必要です。
[数列極限の例題]
(6)区分求積法の例題は別に用意しました。
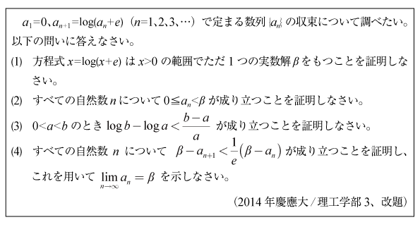
[入試問題]
[B]指数関数の接点座標と切片座標の差の極限値の問題(2015年京大理系3)
[B]数列一般項を収束させるための漸化式の係数の問題(2007年京大理2)
[C]数列の極限の問題(2014年慶應大/理工3)
[C]正五角形の面積比の無限級数の問題(2016年阪大理系5)
[C]区分求積法ではない計算問題(2004年京大理系後期1)
[D]極限値の問題(2012年京大理系11)
●はさみうちの原理を利用する問題
[B]はさみうちの原理を使う数列極限の問題(2013年東北大理系4)
[C]はさみうちの原理を使う数列極限の問題(2012年東工大4)
[C]計算できない数列の和の問題(2014年阪大理系3)
[C]数列の無限和と積分不等式の問題(1992年東京医歯大1)
積分の平均値の定理でも図形を使っても解ける数列の無限和を求める問題です。
[C]中間値の定理と極限の問題(2019年東大理科5) 
[参考問題]
[E]対数を含む極限の難問(2002年東工大4)
[E]非定型的な分数漸化式の極限計算の難問(2006年東大理科5)
[E]はさみうちの原理で円周率を評価する問題(2013年阪大挑戦枠)

早稲田大有名問題
