埼玉大 数学入試問題
2014年埼玉大理系2
[C]同じものを含む順列の確率の問題(2014年埼玉大理系2)
2014年埼玉大/教育22他
[B]tanの性質を証明する問題(2014年埼玉大/教育22他)
2013年埼玉大文系4
[B]回転体の縦割り断面を積分する問題(2013年埼玉大文系4)
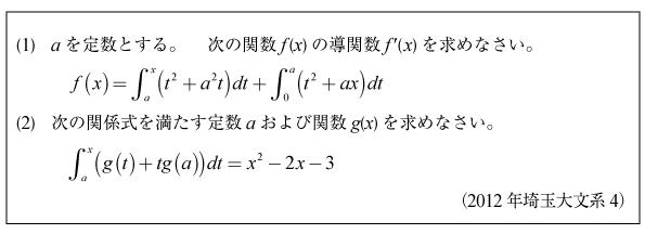
2012年埼玉大文系4
[B]微分多用の関数方程式の問題(2012年埼玉大文系4)
2012年埼玉大/理工4
[C]三角関数の積分漸化式の問題(2012年埼玉大/理工4)
2013年埼玉大/工3
[C]積分範囲を反転する置換積分の問題(2013年埼玉大/工3)
2008年埼玉大文系1
[A]和積公式の証明(2008年埼玉大文系1)
2008年埼玉大理系1
[B]チェビシェフの多項式の漸化式問題(2008年埼玉大理系1)


