[12]二項定理・組合せ記号と多項定理
出題されるとなかなかとっつきにくい問題が多い分野なので、できるだけすべての関係式を取り上げたいと思います。
これらを整数問題の章に分類したのは、記号だけなら難しくないのですが、整数問題の中で使われると途端に難しくなるので、整数問題と一緒にマスターして欲しいからです。
この分野はもう少し成長させます。
●二項定理と二項係数の関係式
二項定理とともに、頻繁に登場する関係式を紹介します。二項定理が絡むと難易度が上がるので要注意です。難関大受験には二項定理は要注意事項です。
二項定理の証明
●組合せ記号の問題
二項定理は出てこないが、なかなか手ごわい問題があります。
[例題]
[B]nCrが自然数である医ことの証明問題(新作問題)
[B]組合せ記号を展開する問題(2010年佐賀大/教育21)
[入試問題]
[C]組合せ記号に関する整数問題(2018年東大文科2)
[C]二項係数の計算問題(2005/2013年横浜市大/医)
[C]部分分数分解と組み合わせ記号整理の問題(2006年阪大理系3)
[C]二項定理の応用問題(2017年東海大/医117)
[C]二項定理で桁数を計算する問題(2014年一橋大後期3)
[C]組合せ記号に関する整数問題(2018年東大理科2)
[C]二項係数を用いる確率の問題(2023年横浜市大/医2) 
[D]約数の個数の難問(2018年横浜市大/医3)
●二項定理と整数の問題
二項定理の対象は整数だけなので、これを使った整数問題も数多くあります。
[C]二項定理にかかわる整数問題(2006年早稲田/政経3)
[C]二項定理を利用した整数問題(2009年東大文2理1)
[D]複素数の素数乗が実数ではないことの証明問題(2000年京大理4)
[E]組合せ、確率、二項定理の問題(2001年東工大3)
●高次導関数の問題
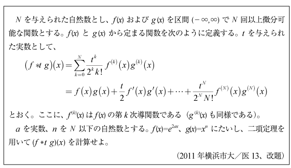
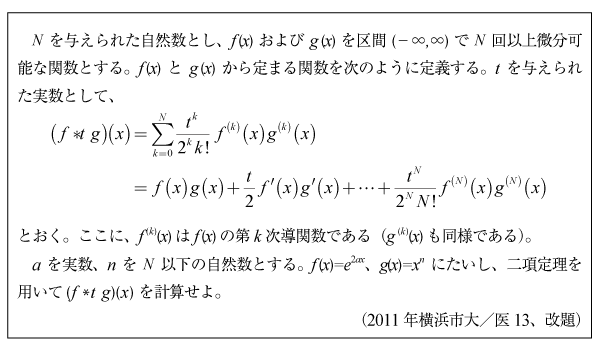
[B]高次導関数と二項定理の問題(2011年横浜市大/医13)
[C]高次導関数と二項係数の問題(2013年横浜市大/医2)
●多項定理とその証明
多項定理とその証明を紹介します。
多項定理は、その全体を利用するというよりはそれぞれの係数を問う問題が多いと思います。多項定理の代わりに項数が3項の三項定理を証明します。
三項定理の証明
[入試問題]
[A]多項定理の係数の問題(2013年北里大/医12)
[A]多項定理のやさしい問題(2016年東海大/医114)
[B]多項定理の係数の問題(1991年関西学院大)
[B]多項定理と順列の問題(2013年岩手大文系1)

●[11]有理数・無...
