HOME > ◎行列と1次変換 > ■応用問題と1次変換疑問点のお問い合わせやご注文などは、■御注文・お問い合わせの手順にしたがってadmin@K-Kyogoku.comへお願いします。最近はかなり頻繁に更新しているので、時々[再読み込み]を行ってください。
難関大入試対策「最強の良問集成(2025年版)」提供を開始しました。こちらへ

「保護されていない」って出てきたけど,大丈夫? 「保護されていない通信」

■応用問題と1次変換

●行列と不等式の問題
[C]行列成分の不等式の問題(2012年東大理科5)

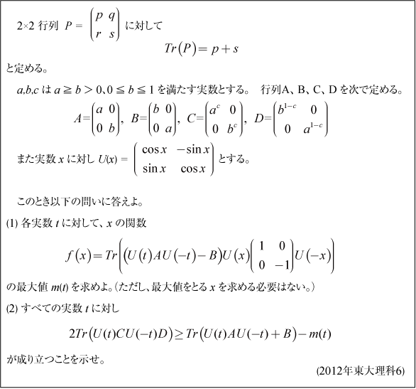
[C]行列の対角成分の和の不等式の問題(2012年東大理科6)


●行列と整数の問題
[B]行列と整数の融合問題(2007年東京医科歯科大3)


●行列のその他の応用問題
[C]3次関数行列に対する上三角行列解の存在を示す問題(2013年慶応大/医3)

[C]行列の閉じた集合の個数の問題(2013年東京医科歯科大/医2)

[B]楕円の回転の問題(2006年旭川医大後期2


●1次変換の問題
行列の応用問題では1次変換が最重要です。

[A]一次変換の問題(2013年昭和大/医133

[B]一次変換の問題(2012年一橋大3)

[B]1次変換と文系積分の問題(2011年東工大1)

[C]直線を直線に移す一次変換の問題(2013年慈恵医大4)

[C]一次変換と領域の問題(2008年東大理科1)

[C]円を円に移す一次変換の問題(2013年横浜市大/医14

[C]確率で1次変換を選ぶ問題(2014年東工大3)