HOME > ◎東北大 > 2026年東北大 > 2026年東北大理5疑問点のお問い合わせやご注文などは、■御注文・お問い合わせの手順にしたがってadmin@K-Kyogoku.comへお願いします。最近はかなり頻繁に更新しているので、時々[再読み込み]を行ってください。難関大入試対策「最強の良問集成(2025年版)」提供を開始しました。こちらへ「保護されていない」って出てきたけど,大丈夫? 「保護されていない通信」
2026年東北大理4 2026年東北大理6
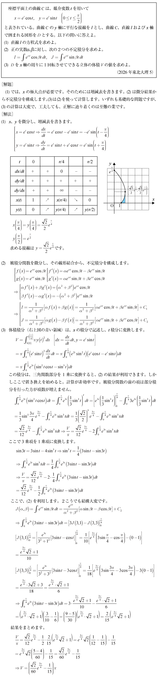
[D]媒介変数曲線の総合問題(2026年東北大理5)
TOP PAGE2026年数学入試問題解答大学別年度別目次(国公立大)大学別年度別目次(私立大)分野別入試問題目次東大入試は易しくなったのか入試突破高速テクニック最新運営状況最新販売状況■御注文・お問い合わせの手引き 2026年版数学入試問題集最強最新の数学入試対策書籍 京極一樹の出版書籍京極一樹の特製本京極一樹の個人指導今週の名問復活!今週のダメ解答の解きなおし復活![小稿集]■東大入試の突破の方法■初めて見た問題が解けるようになる方法■入試対策はいつから始めるのか [以降は分校です]分校 TOP PAGE