■三角関数の積分
●三角関数積分…1乗化の公式
多くの場合「関数の積」や「関数のべき乗」はそのままでは積分できません。積やべき乗を三角関数の1乗に変換する公式だけは暗記が必要です。暗記の大っ嫌いな筆者が暗記をお勧めするのですから、どれだけ重要かご理解ください。キーポイントは[1乗化と置換積分の手法]です。
[積和計算の例題]
以下の公式はこれらを使いこなした結果です。
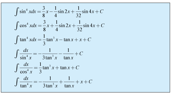
●三角関数のn乗の積分公式
三角関数の積分は1乗、2乗、3乗、4乗ではかなり異なります。[1乗]や[2乗]はすべて重要です。ここで分数積分や置換積分、部分分数分解が出て来ます。上に示した[1乗化と置換積分の手法]は随所で利用します。[3乗]や[4乗]は、字数が高いのですが計算は逆に簡単です。[3乗]や[4乗]の計算は、クリックして表示される別頁に示します。
[1乗]
[2乗]
「積」のままでは積分しにくいので、2乗を1乗に変えるもっとも簡単な方法は半角公式の利用です。多分2乗がもっともむずかしいでしょう。
[3乗]
[4乗]
定積分の場合はウォリスの公式を利用するのが簡単です。
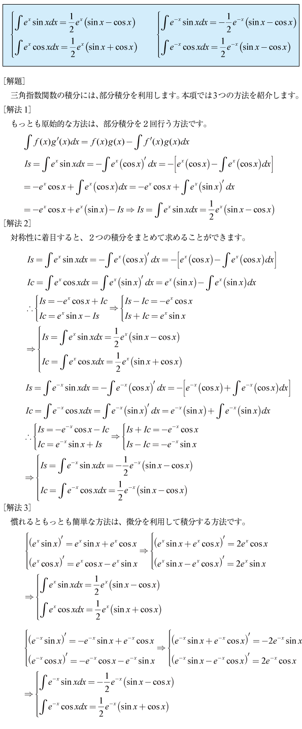
●三角関数と指数関数の積の積分
入試に頻出の公式です。2つの計算を組みにして計算した方が間違いが減ります。片方だけに絞って計算すると、符号の間違いを起こしそうです。微分を元に計算するともっとも手早く計算できます。
[入試問題]
[B]三角関数の定積分の計算問題(2019年京大理系12)
[C]三角関数の少し難しい積分問題(2018年横浜市大/医4)

■12パターンの数Ⅲ...
