■分数関数の積分
分数関数の積分には「手順」があり「パターン」があります。対数関数や三角関数を利用しやすいように部分分数分解などで変形するのが分数関数積分のツボです。明確な方針をパターン化しておけば怖くはありません。
1. 分子が分母より次数が高い場合、分子を分母で割って分子の次数を下げる。
2. あとは分母の形と分母分子の関係によってパターンを選ぶ。
3. 分母が1次式以外のべき乗の場合はそのままべき乗の積分
4. 分母・分子が[f'/f]の場合や分母が1次式で分子が1の場合は対数関数利用
5. 被積分関数が[f'/fの関数]の場合は置換積分利用
6. ここまでが初級の積分で、これで積分できない場合は三角関数を利用する
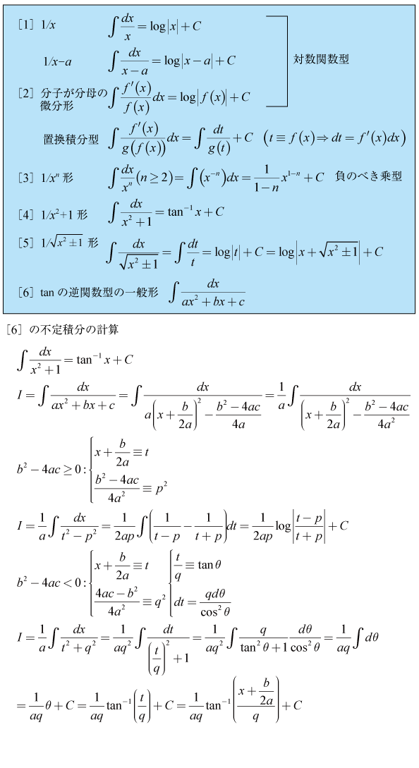
7.分母がx^2+1の場合はtanxで置き換える
8. 分母がax^2+bx+cの場合は平方完成してtanxで置き換える
文字で書いてもわかりにくいので図解します。分子の次数を分母より下げた後は、パターンは6つしかありません。
最後のパターンは誘導なしではほとんど出題されなかったのですが、2014年に防衛医大で誘導なしで出題されました。
[分数関数の積分の例題]
最後の4問はかなり難問ですが、実際に(5)には防衛医大に出題例があります。
分母のxが1次の場合は置換積分、2次以上の場合は部分積分です。
[入試問題]
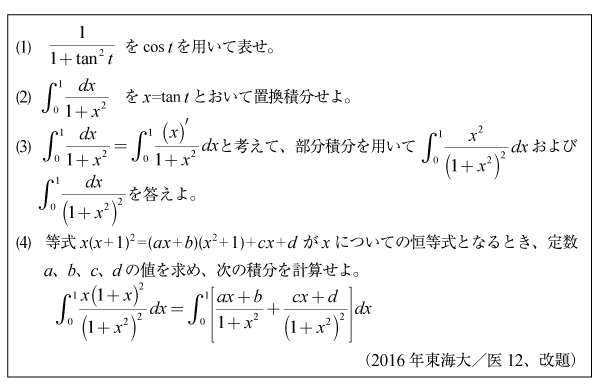
[B]分数関数の部分積分の問題(2016年東海大/医12)
[B]分数関数の部分分数分解の問題(2012年横浜市大/医3)
[B]分数対数関数の積分の問題(2014年関西大理系11)
[B]分数関数の微積分融合問題(2021年東大理3)
[C]逆三角関数の総合問題(2014年防衛医大24)
小問(4)が積分問題です。

■三角関数の積分
