■微積分公式の適用
●微積分の基本公式
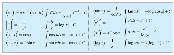
数Ⅱの微積分は多項式の微積分なので簡単です。数Ⅲでも微分は簡単です。公式通りの操作をするだけです。積分は「公式」「部分積分」「置換積分」の組合せです。主な公式を下に示します。主な公式の証明は、クリックすると別の
[微積分公式の証明]の頁に表示されます。
最近は公式証明の入試問題が頻出なので、一度は確認しておいた方がよいでしょう。多分多くの方々は「そんな物知ってる」とお答でしょうが、問題は速さと正確さです。まずはこれらを整理します。
微分操作では、次の性質が重要です。
・微分操作は線型性を満たす。
・合成関数の微分操作も線型性を満たす。
線型性とは、微分操作をfで表して「f(ax+by)=af(x)+bf(y)」ということです。
●対数微分のテクニック
「関数の関数乗」のパターンの微分には、対数微分の手法が必須であり、そのほか因数の多い分数関数の微分も、対数微分の手法を適用した方が少し手間が省けて、かつ、正答率も少し上がると思います。もっとも典型的なのは、「底がネピアの数ではない指数関数の微分」です。このために、対数微分を新設しました。
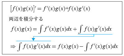
●積の微分と部分積分
関数の積の微分と部分積分は裏表の関係にあります。べき乗と三角関数・指数関数・対数関数の組合せの積分や、三角関数と指数関数の積など「異種関数の積」の積分には部分積分を利用します。三角関数の積分をご参照ください。
[部分積分の例題1]
部分積分が1回で済むとは限りません。指数関数×三角関数の積分でも2回必要でした。3回必要な場合もあります。三角関数に2乗以上のべき乗がかかっている場合や、対数のべき乗の場合は2回以上の部分積分が必要になります。xのべき乗×対数関数の積分は、べき乗が何乗になろうと部分積分は1回だけで済みます。
[部分積分の例題2]
部分積分の入試問題は別頁にまとめました。
●置換積分の問題
数Ⅲ微積分の最骨頂は部分積分と置換積分の使いこなしです。置換積分活用のコツは、被積分関数の中で「f(x)とf'(x)の組合せを探し出すこと」です。なお、置換積分の結果が円の面積の一部に帰着できる場合には、積分計算せずに面積計算する方が早くかつ、間違いがありません。
[置換積分の例題1]
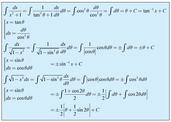
[過程で三角関数を利用する置換積分]
次に紹介するのは、問題には三角関数はないが、三角関数を使わないと積分できないパターンです。無理関数を開く場合は、関数に絶対値記号が必要ですが、根号内が負になることは考えられないので、一般的には絶対値記号は不要になります。この3パターン以外は、高校数学の範囲ではほぼ計算不能です。
定積分の場合は関数値の符号が確定できます。
[置換積分の例題2]
大学数学ではもう1つ、双曲線関数を利用できます。その場合は「1-x^2」のみならず、「1+x^2」の積分に置換積分が利用できます。この関数は、その名前は明示できないのでしょうが、入試問題の題材として誘導付きでよく利用されます。知らずにぶち当たると辛いので、双曲線関数で概要を解説しておきます。
置換積分の入試問題は別頁にまとめました。
●積分定義関数の問題
積分で定義した関数を微分する場合は、往々にして、不定積分を定義すると、解きやすくなります。この問題群は関数方程式と合併させるかもしれません。
[例題]
[B]積分で表した関数の微分係数を求める問題(2017年東京医科大22)


