■三角関数のその他の応用問題
●三角関数の数列の問題
[B]三角関数数列の問題(2008年九大文系1)
#倍角公式
[B]三角関数で解く漸化式の問題(2016年一橋大2)
#加法定理
[B]三角関数の級数和の最大値の問題(2005年一橋大3)
#和差公式
[B]三角関数数列の最小角度の問題(2020年早大/商13)
#加法定理#数学的帰納法
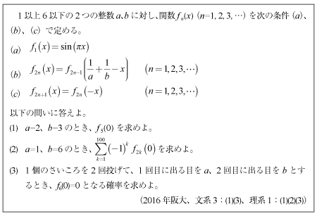
[C]三角関数と確率の問題(2016年阪大文3理1)
#加法定理
[D]三角関数の級数の問題(2017年横浜市大/医2)
#周期関数#独立試行
●チェビシェフの多項式(三角多項式)
慶応大や医学部などで頻出の、漸化式で定義された三角関数多項式の問題です。詳細は漸化式のチェビシェフの多項式で解説します。

■半端な角度の三角関...
