●チェビシェフの多項式
チェビシェフの多項式はsinθやcosθのn次の多項式がしたがう漸化式関係です。根源には微分方程式がありますが、入試問題では微分方程式があつかわれたことはなく、そのコンセプトさえ理解しておけば、そう難しい問題ではありません。
[C]チェビシェフの多項式を方程式に適用する問題(2017年昭和大/医22)
#ド・モアブルの定理#二項定理
[C]チェビシェフの多項式の問題(2017年早大/商3)
#倍角公式#3倍角公式#加法定理#数学的帰納法
[B]チェビシェフの多項式の漸化式問題(2008年埼玉大理系1)
#倍角公式#3倍角公式#加法定理#数学的帰納法
[D]チェビシェフの多項式の漸化式問題(2008年慶応大/医4)
#数学的帰納法#合成関数微分
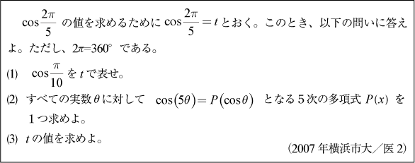
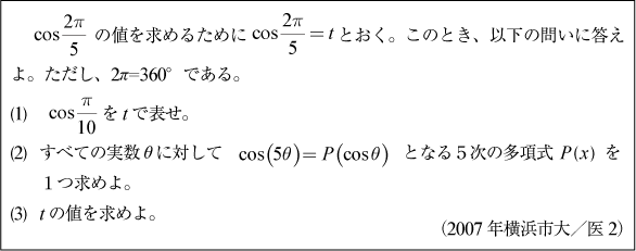
[D]チェビシェフの多項式の計算問題(2007年横浜市大/医2)
#数学的帰納法
[D]チェビシェフの多項式の問題(1996年京大後期文1理1)
#ド・モアブルの定理#数学的帰納法

■三角関数のその他の...
